About - Publications - Blog

Maximizing the Power Gains

Types of power gain

If you haven't read the definitions of the most commonly used power gains, you should probably do this first. We first briefly recap before maximizing the gains.

Consider a network "Z" with one input and one output (a two-port network). The input is connected to a generator (a voltage source VG with internal impedance ZG) and the output to a load impedance ZL.

  • We call the input impedance of the network Zin=Rin+j.Xin. Note that the input impedance Zinis dependent on ZL (see figure).
  • We call the output impedance Zout=Rout+j.Xout. Note that the output impedance Zinis dependent on ZG (see figure).

Figure 1: A network Z is connected to a generator at the input, and a load at the output

The operating power gain GP

The operating power gain GP is defined as the ratio of the power dissipated in the load ZL to the power that the generator delivers to the network Z, connected to that load ZL:

The gain depends on the network Z and on the load value ZL, but is independent on ZG. This power gain is sometimes called 'the efficiency' of the system.

Available gain GA

The available gain GA is defined as the ratio of the maximum available load power PA to the available input power PAG :

The available gain GA is independent on ZL. The gain depends on the network Z and on the generator impedance value ZG.

Transducer gain GT

The transducer gain GT is defined as the ratio of the power dissipated in the load ZL to the available input power PAG of the generator:

It is dependent on both the load impedance ZL and the generator impedance ZG.

Overview output power within the gains

Overview input power within the gains

Comparing and maximizing the power gains

Note: In the next sections, we consider the network Z fixed and change the generator impedance ZG and/or load impedance ZL in order to maximize the gains.

Maximizing the operating power gain GP

The operating power gain GP is only dependent on the load impedance ZL and not on the generator impedance ZG. The question therefore is: "What is the optimal load impedance for maximizing GP?", or "What is the optimal load for maximizing the efficiency of the system?".

We will call the specific value of the load ZL that maximizes the operational power gain Zc2:

GP= maximum at (ZL = Zc2)

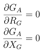
The value of Zc2 can be determined by solving the system of equations [1,2,3]:

We will later determine the value of Zc2 by applying another method.

Maximizing the available gain GA

The available gain GA is only dependent on the generator impedance ZG and not on the load impedance ZL. We will call the specific value of thegenerator impedance ZG that maximizes the available gain Zc1:

GA= maximum at (ZG = Zc1)

The value of Zc2 can be determined by solving the system of equations:

We will later determine the value of Zc1 by applying another method.

Before maximizing GT, we will first compare the different gains with each other. It will come clear why we do this, just bear with us...

Comparing the transducer gain GT to the operating power gain GP

Since PinPAG , it follows that GT GP .

As example, let us consider a very simple, purely resistive network, consisting of three resistors:

Figure 2: Simple, purely resistive, example network

We simulate the gains in LT Spice with a DC voltage source of 12 V, as function of the generator resistance and the load resistance (details).

We plot GP (in green) and GT (in red) as function of varying load resistance (figure 3). The generator impedance was chosen to be 20 ohm. We notice that indeed GT is always smaller than GP . A maximum of 10.9% is reached for GP at a load of 14.5 ohm.

Figure 3: GP (in green) and GT (in red) as function of varying load resistance (logarithmic axis) for the example network of figure 2 (details). The generator impedance was chosen to be 20 ohm.

Comparing the transducer gain GT to the available gain GA

Since PL PA , it follows that GTGA.

For the simple resistive example, we plot GA (in blue) and GT (in red) as function of varying generator resistance (figure 4). The load impedance was chosen to be 100 ohm. We notice that indeed GTis always smaller than GA . A maximum of 10.9% is reached for GP at a load of 8.0 ohm.

Figure 4: GA (in blue) and GT (in red) as function of varying generator resistance (logarithmic axis) for the example network of figure 2 (details). The load impedance was chosen to be 100 ohm.

Comparing the opearational power gain GP to the available gain GA

For our example, we plot GP (in green) as function of varying load resistance, and GA (in blue) as function of varying generator resistance (figure 5). Notice that both gains have the same maximum of 10.9%.

Figure 5: GP (in green) as function of varying load resistance and GA (in blue) as function of varying generator resistance (logarithmic axis) for the example network of figure 2 (details).

Maximizing the transducer gain GT

Taken into account the above, we know that

  1. GT GP and GTGA
  2. GP is maximum at ZL = Zc2 (by definition)
  3. GAis maximum at ZG = Zc1 (by definition)
  4. From the definitions of GT and GP , we find that GT = GP when ZG = (Zin)* at the input port. Indeed, in that case, the actual input power Pin equals the maximum attainable input power PGA (see figure 3 in the previous post).
  5. From the definitions of GT and GA , we find that GT = GA when ZL = (Zout)* at the output port. Indeed, in that case, the actual load power PL equals the maximum maximum available load power PA (see figure 5 in the previous post).

Combining the five statements above, we find that GT is maximized if ZG = (Zin)* = Zc1 and ZL = (Zout)* = Zc2

GT= maximum at ZG = Zc1 and ZL = Zc2

Notice that under these conditions GT = GP = GA . In other words, if the generator impedance equals (Zin)* = Zc1 and the load impedance equals (Zout)* = Zc2, the three gains are maximized and equal each other. We will call this value the ultimate gain GM.

Maximum gains: GT = GP = GA =GM at ZG = Zc1 and ZL = Zc2

Indeed, simulating the gains with the optimal generator and load impedance results in the same maximum value for each gain.

Figure 6: Simulation results of the gains as function of varying generator or load resistance for the given example (details).

Determining Zc1 and Zc2

Now that we have found the condition for maximizing the gains, i.e. equalizing the gains to the ultimate gain GM , we can determine Zc1 and Zc2 as function of the network.

The condition we found was (Zin)* = Zc1 and (Zout)* = Zc2, or

Zin = (Zc1)* and Zout = (Zc2)* (see figure 7)

Zc1 and Zc1 are called the conjugate image impedances.

Figure 7: Definition conjugate image impedances

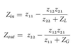
If we consider the network Z to be a two-port network characterized by its impedance matrix Z with 2x2 matrix elements zij=rij+jxij (i,j = 1,2), the input and output impedance equals:

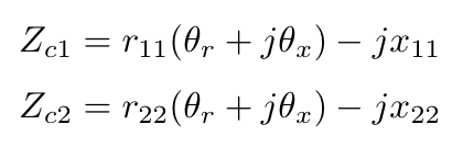
Solving the system (Zin)* = Zc1 and (Zout)* = Zc2 for ZG= Zc1 and ZL= Z2 results in the conjugate image impedances Zc1=Rc1+jXc1 and Zc2=Rc2+jXc2 that maximize the gains [1,4,5,6]:

with

For the simulation example of 2 (z11=10, z12= z21=8, z22=18), we find Zc1= 8.0 ohm and Zc1= 14.5 ohm, corresponding to the simulation results.

 

References

[1] Ben Minnaert and Nobby Stevens. Single variable expressions for the efficiency of a reciprocal power transfer system. International Journal of Circuit Theory and Applications, 45 (10), (2017). 1418-1430.
Paper: [pdf]

[2] Dionigi M, Mongiardo M, Perfetti R. Rigorous network and full-wave electromagnetic modeling of wireless power transfer links. IEEE
Transactions on Microwave Theory and Techniques 2015; 63(1), pp. 65-75, DOI: 10.1109/TMTT.2014.2376555.

[3] Bird TS, Rypkema N, Smart KW. Antenna impedance matching for maximum power transfer in wireless sensor networks. IEEE Sensors
2009; pp. 916-919, DOI: 10.1109/ICSENS.2009.5398165.

[4] Roberts, S. (1946). Conjugate-image impedances. Proceedings of the IRE, 34(4), 198p-204p.

[5] Mastri, F., Mongiardo, M., Monti, G., Dionigi, M., & Tarricone, L. (2018). Gain expressions for resonant inductive wireless power transfer links with one relay element. Wireless Power Transfer, 5(1), 27-41.

[6] Ben Minnaert, Giuseppina Monti, Alessandra Costanzo and Mauro Mongiardo, Gain Expressions for Capacitive Wireless Power Transfer with One Electric Field Repeater. Electronics 2021, 10, 723.
Paper: [pdf]